워크플로 다이어그램을 만드는 방법은 무엇입니까 ? 개념, 기호, 튜토리얼, 사례
오늘날의 빠르게 변화하는 작업 환경에서 워크플로를 효율적으로 관리하고 최적화하는 것은 모든 조직이나 개인의 성공에 매우 중요합니다. 직관적이고 강력한 시각적 도구인 워크플로 다이어그램은 작업 프로세스의 다양한 측면을 이해, 분석 및 개선하는 데 도움이 될 수 있습니다. 이 기사에서는 워크플로우 다이어그램의 기본 개념, 유형 및 그리기 튜토리얼을 자세히 살펴보고 여러 애플리케이션 시나리오의 사례를 공유합니다 .
Ⅰ. 워크플로우 다이어그램의 개념
워크플로우 다이어그램은 특정 유형 또는 플로우차트의 애플리케이션 인스턴스로 볼 수 있습니다. 그래픽, 기호, 화살표와 같은 일련의 요소를 통해 특정 작업, 작업 또는 프로세스의 시작부터 끝까지 전체 단계와 순서를 다이어그램 또는 순서도 형식으로 묘사합니다. 이 도구는 각 단계 간의 관계를 명확하게 보여줄 뿐만 아니라 사람들이 결정 지점, 분기 경로, 가능한 루프를 포함하여 전체 워크플로를 이해하는 데 도움이 됩니다.
워크플로 다이어그램은 비즈니스 프로세스, 프로젝트 관리 프로세스 등과 같은 조직 내 특정 작업 프로세스의 세부 단계와 관계를 설명하는 데 더 중점을 둡니다. 일반적으로 실제 작업을 더 잘 안내하기 위한 더 자세한 내용과 구체적인 단계가 포함되어 있습니다.

Ⅱ. 작업흐름도의 기호
다음은 워크플로 다이어그램의 일반적인 기호입니다.

Ⅲ. 일반적인 유형의 워크플로우 다이어그램
기본 순서도: 작업의 기본 순서만 보여주는 가장 간단한 형태의 작업 흐름 다이어그램입니다.
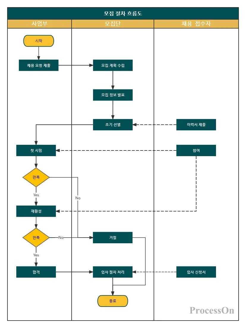
수영 레인 다이어그램(교차 기능 흐름도): 책임 분리를 용이하게 하기 위해 다양한 역할이나 부서의 작업을 다양한 "수영 레인"에 할당합니다.
UML 다이어그램: UML 활동 다이어그램은 통합 모델링 언어를 사용하여 프로세스의 단계 순서와 제어 흐름을 그래픽으로 표현하는 데 사용됩니다.
BPMN: 비즈니스 프로세스의 다양한 부분은 물론 이들 간의 관계 및 흐름 조건을 설명하는 명확하고 직관적인 방법을 제공하는 비즈니스 프로세스 모델링 및 주석입니다.
SIPOC 다이어그램(공급자-입력-프로세스-출력-고객): 거시적 관점에서 프로세스 분석에 사용되며 공급망의 무결성을 강조합니다.
IV. 작업흐름도를 그리는 단계
1. 명확한 목표: 먼저 워크플로우 맵이 누구를 위한 것인지 명확히 합니다. 회사 내부적으로나 고객 내부적으로. 또한 특정 문제를 해결하려는 것인지, 기존 프로세스를 최적화하는 것인지, 새로운 프로세스를 설계하는 것인지 등 순서도를 그리는 목적을 결정합니다.
2. 주요 활동 식별 및 순서 지정: 프로세스의 다양한 위치 또는 역할과 관련된 모든 주요 작업 및 단계를 나열하고 이러한 활동을 논리적이고 현실적인 실행 순서로 배열합니다.
3. 기호 및 도구 선택 및 스케치 그리기: 흐름도 유형(예: 시작/끝을 나타내는 원, 작업 단계를 나타내는 직사각형, 결정 지점을 나타내는 다이아몬드 등)과 그리기 소프트웨어 또는 도구에 따라 적절한 그래픽 기호를 선택합니다. 초기 드로잉에서는 너무 많은 세부 사항을 추구할 필요가 없으며 프로세스의 전체 프레임워크를 표현하는 데 중점을 둡니다.
4. 최적화된 흐름도 검토 및 수정: 단계의 흐름이 논리적으로 명확한지, 기호가 올바르게 사용되었는지 확인하고 팀 구성원 또는 관련 이해관계자와 스케치에 대해 논의하고 피드백을 수집하고 필요한 조정을 수행합니다.
5. 최종 버전 완성: 정보가 정확하고 팀 구성원이 이해하기 쉽도록 피드백을 기반으로 순서도를 다듬습니다.
Ⅴ. 추천 온라인 워크플로우 차트 메이커
순서도를 그리는 데는 많은 도구가 있으므로 편리한 도구를 선택하는 것이 매우 중요합니다. 일반적인 것에는 Visio, Word, ProcessOn 등이 포함됩니다. 사용자는 필요에 따라 적절한 순서도 작성기를 선택할 수 있습니다. 여기에서는 주로 Word와 ProcessOn을 사용하여 워크플로 차트를 만드는 방법을 설명합니다.
Ⅵ. 워크플로우 차트를 만드는 방법
Word에서 워크플로 다이어그램 만들기
1. 먼저 Word로 빈 문서를 엽니다.
2. 탭을 "삽입"으로 전환하고 그래픽을 클릭한 다음 순서도의 그래픽 기호를 선택합니다 .

3. 캔버스에 프로세스 요소를 생성하려면 클릭하고 드래그하고, 텍스트 콘텐츠를 추가하려면 그래픽을 클릭하세요.

4. 삽입 탭에서 그래픽 모듈을 계속 클릭하고 연결 화살표를 선택한 다음 클릭한 채 드래그하여 프로세스 요소를 연결하는 선을 만듭니다.

ProcessOn 에서 워크플로 다이어그램 만들기
1. ProcessOn 공식 웹사이트를 열고 개인 파일 페이지에 들어가서 New(새로 만들기)를 클릭하여 흐름도를 만듭니다.

2. 순서도 작성기 왼쪽에 있는 그래픽 라이브러리의 프로세스 그래픽 기호를 캔버스로 드래그하고 그래픽을 두 번 클릭하여 텍스트를 추가한 다음 그래픽의 "+"를 클릭하여 그래픽 간의 연결을 만듭니다.

3. 그래픽을 선택하면 상단 도구 모음을 사용하여 텍스트 스타일과 선 스타일을 설정할 수 있습니다.

Word에 비해 ProcessOn은 무료 이며 순서도 그리기 프로세스가 더 편리합니다. 동시에 ProcessOn은 UML 다이어그램, 네트워크 토폴로지 다이어그램, 마인드 맵 및 기타 그래픽 그리기를 지원하여 파일 보기 및 편집을 위한 팀 협업을 지원합니다 . 함께.
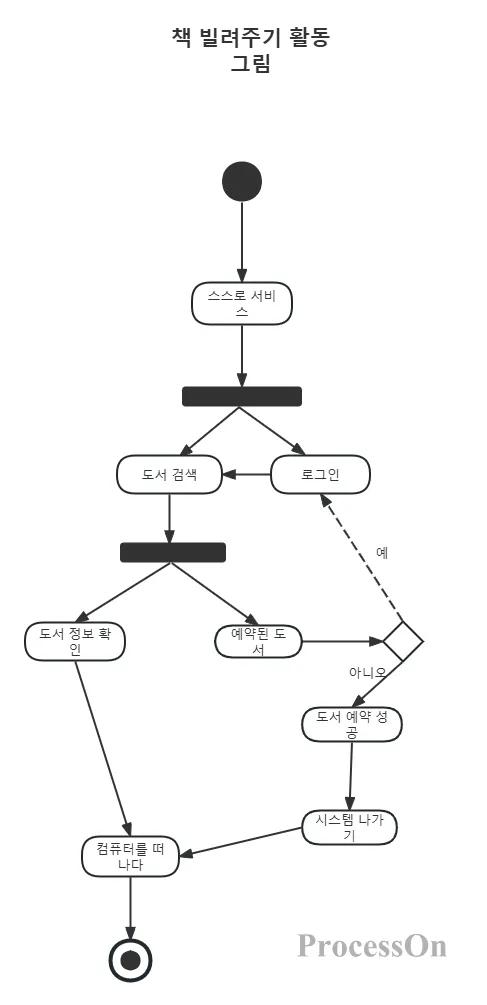
Ⅶ.워크플로 차트 사례
워크플로우 다이어그램에는 광범위한 응용 시나리오가 있으며 프로젝트 관리, 비즈니스 프로세스 최적화, 시스템 분석 및 설계, 교육 및 훈련 등 다양한 분야에서 사용할 수 있습니다. 이는 팀 구성원이 각자의 직무 책임과 프로세스의 핵심 노드를 더 잘 이해하는 데 도움이 되므로 작업 효율성과 팀 협업이 향상됩니다.
1. 프로젝트 관리
프로젝트 관리에서 워크플로 다이어그램은 작업 할당, 종속성, 주요 마일스톤을 포함하여 처음부터 끝까지 프로젝트의 다양한 단계를 명확하게 표시할 수 있습니다.
이는 프로젝트 관리자와 팀 구성원이 전체 프로젝트의 흐름을 이해하고 작업이 계획대로 진행되는지 확인하는 데 도움이 됩니다.

2. 비즈니스 프로세스 최적화
워크플로 다이어그램은 기업 내에서 번거롭거나 비효율적인 비즈니스 프로세스를 식별하고 최적화하는 데 사용할 수 있습니다.
프로세스를 시각화함으로써 기업은 병목 현상을 식별하고 개선 방안을 제안하며 구현 결과를 추적할 수 있습니다.

3. 소프트웨어 개발
소프트웨어 개발에서 워크플로 다이어그램(예: UML 활동 다이어그램)은 사용자 상호 작용, 데이터 처리 및 오류 처리를 포함한 시스템 동작을 설명하는 데 사용됩니다.
개발자, 테스터 및 프로젝트 관리자가 소프트웨어 개발의 다양한 단계와 프로세스를 이해하는 데 도움이 됩니다.

4. 고객 서비스 및 지원
고객 서비스 팀은 워크플로 다이어그램을 사용하여 표준화된 서비스 프로세스를 개발하여 고객 문제가 즉각적이고 효과적으로 해결되도록 할 수 있습니다.
이는 서비스 오류와 누락을 줄이는 동시에 고객 만족도를 높이는 데 도움이 됩니다.

5. 제조 및 물류
제조 및 물류 산업에서는 워크플로우 다이어그램을 사용하여 생산 프로세스, 건설 프로세스, 재고 관리, 운송 경로 등을 계획합니다.
이는 기업이 자원 할당을 최적화하고 생산 효율성을 향상하며 비용을 절감하는 데 도움이 됩니다.

6. 인적 자원
인적 자원 분야에서 HR은 흐름도를 사용하여 채용, 교육 및 기타 프로세스를 설명할 수 있습니다.
이는 HR이 표준적이고 명확한 작업 흐름을 더 잘 개발하는 데 도움이 됩니다 .

워크플로우 다이어그램은 프로젝트 관리 및 프로세스 최적화를 위한 중요한 도구일 뿐만 아니라 조직 효율성 및 혁신 역량을 향상시키는 핵심이기도 합니다. 신중한 설계와 효과적인 사용을 통해 팀 간의 협업을 크게 향상하고 원활하고 효율적인 작업 흐름을 보장할 수 있습니다. 대기업이든 개인 프로젝트이든 워크플로 다이어그램을 마스터하고 적용하는 것은 명확한 작업 흐름의 기초가 될 것입니다. 그러므로 오늘부터 시작하여 작업 흐름을 정리하는 것이 좋습니다!